考研数学是考研中比较容易拉分的科目,因此大家应该对于考研数学引起足够的重视,而真题可以很好地帮到你,研究近十年真题,可以让你发掘出每年必考的知识点,哪些题属于简单题等等,对于考研复习有很大的帮助。下面新祥旭考研老师具体说说数学真题如何使用。
试题以考查数学的基本概念、基本方法和基本原理为主,在此基础上加强对考生的运算能力、抽象概括能力、逻辑思维能力、空间想象能力和综合运用所学知识解决实际问题能力的考查。
也就是说,考研数学出发点还是基础为主,适当拔高。如果基础扎实,拿到80%的分是没问题的,在此基础上如果还有余力再为剩下的10-15分拼一拼。
所以整体还是要练好基础,不要觉得听起来很简单,到时候上了考场,你就知道什么叫基础不扎实。
1、真题要做多少年,为什么?
答:
1988至2018年31年的真题,按年份顺序排列大致可以按照线索来分析.
1988-1996(共5个卷种,其中卷1、2相当于现在的数学一,卷3相当于现在的数学二,卷4、5相当于现在的数学三),卷面分值100分;
1997-2002(数学一、二、三、四单独一套试卷),卷面分值100分;
2003-2008(数学一、二、三、四单独一套试卷),卷面分值150分;
2009-2018(数学一、二、三单独一套试卷,取消数学四),卷面分值150分;
1988-1996的真题不推荐同学们在第一遍按套卷做真题的时候使用。
首先是题量小,考察内容安排较现在看不甚合理;再就是难度系数波动较大,和现在真题的模式差距过大。
这里推荐大家两种方案:
(1)15年真题:2003-2018
这样将所有150分分值的历年真题包括,和现在真题较为相近,有很好的模拟考察效果;缺点就是缺少了一些早年真题中的经典内容,而这些内容往往在之后的真题中频繁出现。
(2)21年真题:1997-2018
1997-2002年真题虽然卷面分值只有100分,但是题量(6+6+7=19)比2003年之后(6+8+9=23)也相差不了多少,具有很好的参考价值,尤其1998和1999年两年的试题相当之经典。如:
此题是31年历史上,使用定积分定义计算和式极限最经典也是最难的一道题,大家应该都不陌生吧。
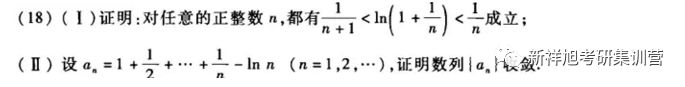
此题也是利用微分学证明不等式中经典的一道题目,此后曾经多次考察过这种思想。
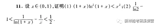
本题中涉及的矩阵(行列式)在线性代数多个章节内容的考察中出现频率极高,数学三甚至2001-2004年连续四年对这个知识点做了考察。
本题是一道非常经典的"母题"之后2011年考察过一道类似的题目,只不过将本题中的f(x)具体化为1/x
通过以上分析,想必同学们对真题要做多少年的问题应该都有了自己的答案。同学们可以根据自己的情况做出选择,这里我更推荐第二种21年真题的方案。
2、真题要怎么做,做几遍,怎么制定一个计划?
答:
真题至少应该做两遍:
第一遍:按套卷模拟考试,严格按照考试时间,甚至缩短一定时间。
毕竟肯定有部分题目是你之前做过的;考场难免会紧张影响状态,平时心态更放松,可以压缩时间模拟考场紧张。
第二遍:按章节知识点再做一遍,这里建议两(三)科同时进行,不要一段时间只做微积分或者只做线性代数、概率论,这样遗忘率太高。
3、真题书该如何选,是否要准备错题本等?
答:
(1)第一轮真题模拟,请一定要在A4纸上答题!
a、用A4纸模拟考场在答题纸上答题,更有针对性;
b、便于批改和做小结。(可以将A4纸留1/4空白做批注和归纳小结)
切忌不要在草稿纸上随便写写画画,解答题步骤也不完整书写,这样草草应付了事,是对真题莫大的浪费!
(2)做套卷态度第一,分数次之。
相信很多同学在做英语真题阅读的时候都有这样的体验:有时候运气好,错1、2个甚至全对,心情大好;结果隔天错一半甚至更多,立马觉得世界崩塌了……
在做数学真题时,严格按照时间,认真书写,不敷衍,不急躁,这样的态度是最关键的!
批改后的分数只是一个参考,同学们更应该关注的是错误的原因:是因为计算问题导致错误,还是概念模糊,知识点缺失等等造成的。
做好记录,查漏补缺。尤其在第二轮真题时,做有针对性的学习和训练。再强调一遍,最后阶段,心态决定了你那个"水桶"最短一块木板的长度!
(3)错题本一定要有!
错题本的重要性不用多说。在最后一个月,同学们会发现再也没有耐心去看视频、看辅导书,或者就算看了也发现效果不大,抓不住重点。
这个时候,之前复习的笔记以及错题本就成为了你最亲密的战友和朋友,有了他们你的心境会更加的平静和踏实,可以"有的放矢";而不会明明紧张的要死,却发现"无事可做"。
(4)数学也是需要"背诵"的!
学习从某种意义上来说,就是和"遗忘"的无休止的斗争。所以即使像数学这样的学科,也不是仅仅做到"理解"就能学会的,也需要像学文科那样"背诵"。
根据以往的经验,有相当一部分同学很依赖"公式手册"这类代替他必须的记忆工作的辅助工具,这其实是相当不好的。
既影响了他对必要知识点,概念,公式的记忆;同时因为脱离了题目的背景,很容易造成生搬硬套,不求甚解。等到坐到考场里,悔时晚矣。
•第一轮(套卷阶段):
1997-2002年试卷题量较小,可以做到一天一套卷同时还可以兼顾批改和小结;
2003-2017年试卷题量较大,建议三天做两套试卷,留出一天的时间用于批改和小结。
具体这三天如何安排可以根据自己的情况决定。
按1997-2017计划,第一轮预计需要30天左右;
按2003-2017计划,第一轮预计需要23天左右。
•第二轮(知识点阶段):
有了第一轮的基础,此阶段的速度可以有较大的提升,另外重点应放在总结归纳。如:经典题型,经典方法,常用结论……
此阶段预计需要15-20天。
•第三轮(冲刺阶段):
完成前两轮任务之后,时间大约应在11月底,此时不建议大量做模拟题。
通过之前的分析,大家应该深刻的认识到"得真题者得考研数学"的道理,同学们可以根据自己的实际情况,适当选择非自己考试范围的真题来练习。
这里尤其建议数学一的同学,应该把数学二、三的真题拿出来好好做一做;当然,考数学二、三的同学也可以把数学一真题中公共部分拿出来做一做。
真题的指向性和参考性是最强的,没有之一!
至于模拟题,可以按照4到5天的频率,抽一天上午的时间,从8点30到11点30,严格按照考试时间来进行模拟。
注意这里做模拟题的目的,查漏补缺是一方面,同时也是为了尽量多模拟考场情境,降低真实考试时的不适感。
文章来源于网络,如有侵权请立即联系我们!
2019-2020年新祥旭考研辅导班第一品牌
【课程顾问】吴老师
【联系电话】13366797044
【微信号码】13366797044
【QQ咨询】3456470958


















